
Revolutionizing APIs, agrochemicals, and fragrance synthesis with advanced Grignard technology and in-house reaction capabilities.

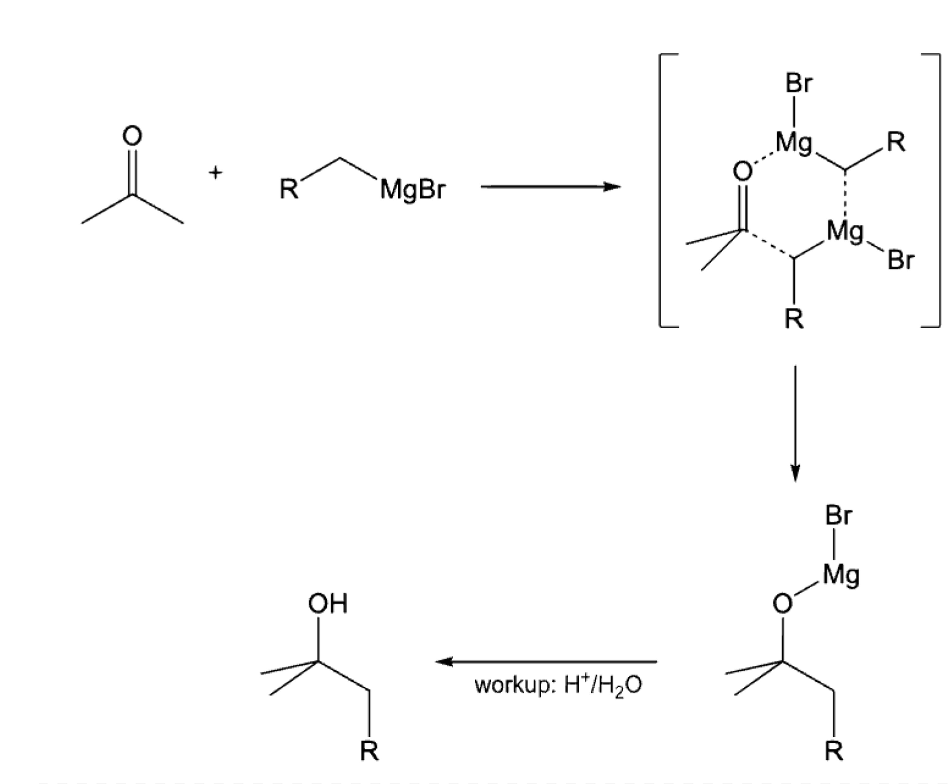
Grignard's Reaction is a fundamental organic reaction discovered by Victor Grignard, for which he received the Nobel Prize in Chemistry in 1912. It uses Grignard reagents that are organomagnesium compounds with the general formula R-Mg-X (where R is an organic group and X is a halogen).

Synthesizing active pharmaceutical ingredients (APIs) like Lopinavir and Ritonavir, which are widely used in antiviral treatments.

Essential for creating intermediates that protect crops from insects and pests and enhance yields.

Crafting high-value fragrance compounds like Alpha Damascenone and Beta Damascenone, is the key to luxury perfumes

The Grignard reaction is a crucial step in the synthesis of Tramadol, a centrally acting opioid analgesic used for pain management. In this process, a Grignard reagent is employed to construct the key tertiary alcohol functional group present in Tramadol.
Grignard Reagent: 3-Methoxyphenylmagnesium bromide (Ar-MgBr)
Electrophile: Cyclohexanone
Solvent: Anhydrous ether

Cyanation is a chemical process that introduces a cyano group (-CN) in...

Hydrogenation is a chemical process in which hydrogen (H2) is added to...

Biocatalysis harnesses the power of enzymes or microorganisms to catal...

Fluorination is a chemical process used to introduce one or more fluor...
From lab-scale testing to pilot-scale production to finished formulations and regulatory support, our CRO services are designed to streamline your journey to market with precision and expertise.
Our CMO services enable seamless production processes to meet your custom specifications and timelines, catering to both small-scale and large-scale production needs.
.3479cd5c.png)
Eight state-of-the-art manufacturing facilities located across Andhra Pradesh, Telangana, Gujarat, Karnataka, and Maharashtra
Combined Grignard reactor capacity of 30KL.
Specialization in Carbonyl Additions, Nucleophilic Substitution, and Epoxide Ring Opening.
An integrated approach from raw material synthesis to solvent recovery ensures cost-effectiveness and sustainability.
👥 Speaker: Mitesh Gangar | VP & Head - Specialty Business & Supply Chain at Aarti Industries Ltd. Nirjhar Negi | Director - Advanced Materials at IMCD Group
👤 Host: Salil Srivastava | Co-Founder at Scimplify
👥 Speaker: Dr. J.S. Yadav | Dr. Sudhir Kumar Singh | Prof. Malla Reddy | Dr. Srinivas Oruganti | Dr. D.S. Reddy | Dr. Rakeshwar Bandichhor
👤 Host: Sachin Santhosh | Co-Founder, Scimplify



